CHAPITRE I, « LA CLASSE DE MAÎTRE MODA » : QUESTIONS Lecture A. Un récit de science fiction 1. Où et quand l'histoire se déroule-t-elle ? 2. a) Que sont les « naturels » ?. La classe de maître Moda Questions partie 1 1)Emna est une jeune fille très intelligente, qui apprend rapidement, en revanche c'est une personne antipathique qui est confuse et perdue. Elle est souvent tourmentée et négative.

Séquence La Classe De Maître Moda

Épinglé par Sajesatvallees sur Enregistrements rapides Activité manuelle pour personnes agées

PDF Télécharger la classe de maitre moda questions reponse Gratuit PDF

La classe de maître moda 3ème Français

Déclaration d'impôts le papier autorisé... sous conditions Question Réponse Adetef.fr

bonjour je demande de l'aide à toute personne ayant lu le texte ''la classe de maître Moda'' je

Images De Questions Et Reponses En Arabe Hot Sex Picture

Questionnaire sur le mode vie

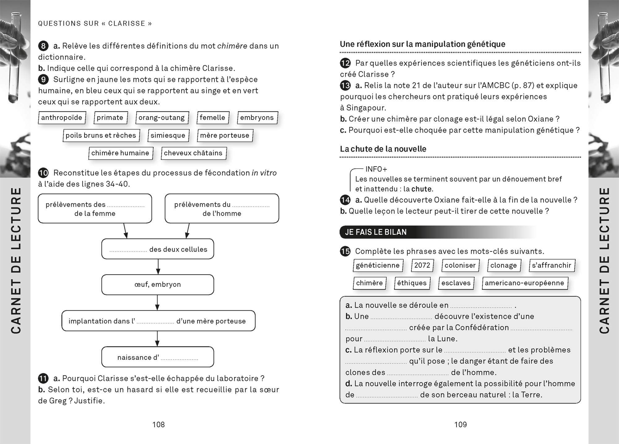
bonjour j'ai vraiment besoin d'aide pour ces questions il faut faire questions 1,2,4,5,6,8,9

Dictée 11 Bordage Maître Moda YouTube

la classe de maitre moda
La classe de maître moda 3ème Français

la classe de maitre moda questions reponse

Calaméo La Classe de Maitre Moda, Pierre Bordage

le journal d'un clone gudule analyse

Épinglé sur English worksheets

Exercices sur la ponctuation pour CE2 CE1 Maître Lucas
LA CLASSE DE MAITRE MODA Pierre BORDAGE PDF PDF

Bordage, «L'école de maître Moda», Nouvelle vie Docsity

Les Petits Maitres de la Mode
Réponse :Emna est un personnage du roman "La classe de maître Moda" de Pierre Bordage. Elle est probablement dépeinte comme une élève ou une participante à la classe de maître Moda, mais sans plus de détails sur le livre lui-même, il est difficile de fournir une image précise d'elle.. 11) a) A quel personnage fictif Maître Moda se compare-t-il ? Dans quel but fait-il cela ? Maître Moda se compare au Maître Yoda de la Guerre des Etoiles ? Sans doute fait-il cela pour « séduire » ses élèves, pour instaurer un rapport de complicité. b) A la fin de l'extrait, qu'apprend-on à son sujet ? A la fin de l'extrait, le.